Neurobiology of Sleep-Wakefulness Cycle 2(2): 45-55, 2002
Printed in Georgia. All rights reserved.
© 2002 NSWC

EFFECT OF PARTIAL DEPRIVATION OF PARADOXICAL SLEEP THROUGH ITS REPLACEMENT WITH EQUIVALENT IN DURATION EPISODES OF ACTIVE WAKEFULNESS ON HUMAN NOCTURNAL SLEEP STRUCTURE

T. Oniani, J. Badridze, M. Mgaloblishvili-Nemsadze, L. Maisuradze, N. Lordkipanidze, E. Chijavadze, N. Oniani

Department of Neurobiology of Sleep-Wakefulness Cycle, I.S. Beritashvili Institute of Physiology, Georgian Academy of Sciences, Tbilisi

Accepted in revised form 23 June 2002; recieved 4 April 2002.

Summary

As a result of a more or less detailed description of the baseline sleep-wakefulness cycle (SWC) in man some comments have been made about SWC classification commonly accepted at present. They concern particularly the recognition of the alpha rhythm, developing in human subjects ready to fall asleep after closing the eyes, as a correlate of the phase of wakefulness. From the neurobiological position, this state is considered to be the beginning of a consummatory phase of sleep as an instinctive behavior. However, not denying the convenience of the conventional classification for the clinical purposes, from the neurobiological point of view it is more acceptable to divide the orthodoxical sleep in man and other mammalian species into two stages, i.e., light slow wave sleep (LSWS) and deep slow wave sleep (DSWS).

Furthermore, was studied the effect of partial deprivation of the paradoxical phase of sleep (PSD) on the deprivation and postdeprivation structure of human nocturnal sleep cycle. Partial PSD was made by the way of mere awakening of the subject 5-6 min after the onset of paradoxical sleep (PS) and subsequently has been maintained by active wakefulness for 10-15 minutes during which the subject was required to retell the content of the dreams seen before awakening. To determine the different phases and stages of the SWC the electroencephalogram (EEG) from the frontal, parietal and occipital areas of the neocortex, activity of oculomotor muscles, mental and submental muscles and cardiac rhythm were recorded on a multi-channel polygraph of the firm "San'ei". Analysis of the data obtained shows:1) the lack of accumulation of the need for PS and respective increase of the PS onset frequency during PSD, 2) lack of PS rebound in the following postdeprivation night, 3) an increase in the amount of DSWS during deprivation night, 4) development of the phenomenon of self-arousal from PS on the basis of lucid dreaming and purpose to retell its content, 5) lack of significant changes of the overall structure of nocturnal sleep in postdeprivation period. Analysis of these data relied on the knowledge of neurobiological and neuropsychological mechanisms of the SWC in general.

Key Words: Partial PSD; SWS rebound; SWC during and after PSD; Lucid dreaming; Self-arousal phenomenon.

Introduction

With a view to studying the functional significance of the so-called paradoxical sleep (PS) and determining its place in the sleep-wakefulness cycle (SWC) nonpharmacological (Dement 1960; Jouvet et al. 1964; Jouvet 1965, 1967; Dement et al. 1967; Morden et al. 1967; Fergusson and Dement 1968; Fishbein and Gutwein 1977; Van Hulzen and Coenen 1980; Rechtschaffen et al. 1983; Sallanon et al. 1983; Oniani 1984, 1986; Oniani and Lortkipanidze 1985; Oniani et al. 1985, 1988a, b; Camarini and Benedito 1997; Roth et al. 1999; Sucheki et al. 1999; Oniani et al. 2000; Mallick 2000; Oniani et al. 2001a) and pharmacological (Dement et al. 1967; Dusan-Peyrethon and Jouvet 1968; Wyatt et al. 1969; Oswald 1974; Vogel 1975; Pickworth et al. 1977; Obal et al. 1985; Akhvlediani et al. 1988; Vogel et al. 1988; Bodosi et al. 1999; Lee et al. 1999) methods of deprivation of this physiological state of the brain have been widely applied. First Dement (1960) made deprivation of paradoxical sleep (PSD) in humans by instantaneous awakening of the sleeping subject immediately after the appearance of the first signs of PS and observed at that time, on the one hand, more frequent appearance during deprivation of the phase to be deprived, and on the other hand, an increase in total amount of PS in the postdeprivation period. To exclude the side-effects of unexpected interruption of the PS phases onset on the psychological state of the subject, Sampson (1965) compared two versions of PSD. In one version so as in the experiments of Dement (1960) an instantaneous awakening of the sleeping subject was made shortly after the appearance of PS, while in the other, PS was deprived partially. In the second version actually a total sleep deprivation is made in the second half of the night. As is well known (Rechtschaffen and Kales 1968; Rechtschaffen and Siegel 2000), by this time the manifestation of the third and fourth stages of sleep is over and most of PS phases are triggered from the level of stage 2. The results obtained by the two methods appeared to differ from each other only quantitatively and in principle in both cases there is a pressure of PS need on SWC both during deprivation and in the postdeprivation period. These facts clearly indicate that PSD by means of an instantaneous awakening of the sleeping man or animal provides only a temporary retardation of proper development of these phases and besides, sharply alters the possibility of optimal development of other phases (wakefulness and slow wave sleep (SWS)) during deprivation procedure, as well as in postdeprivation period. Therefore, the indicated method, although it enables to obtain data on the functional significance of PS and on the formation of intrinsic specific need for it, appears to be inappropriate for a selective and total PSD. According to our previous experiments on animals (Oniani et al. 1985; Oniani 1986; Oniani et al. 1988a, b, 2000, 2001a), selective and total PSD may be accomplished not only by an instantaneous awakening of the animal immediately after the PS onset, but also by further maintenance of the state of active wakefulness for the time adequate to the mean PS duration for this animal. During the application of this method there is neither more frequent occurrence of PS in the course of PSD nor an increase in its postdeprivation amount, i.e. there occurs a selective and total PS elimination from the SWC. Later on this method has been employed by us in humans as well. In the present series of experiments only partial PSD was made. The results will be analyzed below.

Methods

Observation was made on the SWC of five subjects. Four of them being from 24 to 28 and only one 44 years old. All of them were co-workers of the laboratory of Neurobiology of SWC who had been adapted to the conditions of the experiment and interested in its accurate realization. For the purpose of identification of different phases and stages of SWC with the conventional method (see Rechtschaffen and Kales 1968) the electroencephalogram (EEG) from the frontal, parietal and occipital areas of the cerebral cortex, as well as electromyogram (EMG), electrocardiogram (ECG) and eye movements were recorded. Recording of these parameters was made on ink-writing electroencephalograph of the firm "San'ei". Spectral analysis and integration of a d (1-4 Hz), q (4-8 Hz), a (8-12 Hz), b1 (12-20 Hz) and b2 (20-30 Hz) rhythms, the EEG components from one or another cortical area was performed on a 2-channel frequency-amplitude analyzer-integrator of the same firm. A consecutive recording in a 5 sec epoch of the integrated values was made: first all the five rhythms of one lead and then of the other.

Polygraphic recording of the sleep cycle was started either at 11 pm or 12 pm depending on the subject's desire. Once the recording electrodes had been anchored, the subject lay down in a comfortable bed, took a convenient position and after being relaxed and calmed down the polygraphic recording lasting for 7-9 hours was started. At the beginning, during 3-4 days baseline cycle was recorded in each subject, and then experiments on partial PSD were started. To this end the phase of PS was interrupted only in 5-6 min after its onset on the face of well developed rapid eye movements (REMs). With similar experiment we wanted to provide answers to two questions: 1) how the dreaming pattern is reflected in the EEG; 2) what is the effect of partial PSD, in the case of total replacement of the remained part of PS by the episodes of active wakefulness on the subsequent course of SWC. After awakening the subject was required to retell the content of his/her dream thereby maintaining active wakefulness. At this point we relied on the reported data that almost 85% of experimental subjects, who awoke 6 min after PS onset, easily remembered and told the content of the seen dreams (see Jovanovic 1971). In our experiments, taking into account the mean duration of PS in man we made deprivation of its two-thirds. As the experiments continued from 11 pm to 7-8 am, during the day we could make observation on the subjects' mood and efficiency. The whole subsequent day they spent in usual optimal regime of activity.

After the termination of experiments data (ratio of different phases and stages of sleep, expression of the rhythms integrated by spectral analysis, etc.) were processed quantitatively and statistical significance of the changes observed were checked by Student's t-test. During qualitative treatment of integrated rhythms 5 sec epoch EEG data were taken from 2 min records of each phase and stage of SWC.

Results

1. Analysis of baseline records

In spite of the fact that the subject made himself/herself comfortable in bed with the intention to fall asleep, a definite time (a few minutes) after having taken convenient posture for sleep he/she spends with eyes open. At this time the EEG shows the phenomenon of obvious desynchronization, i.e. all the basic slow rhythms (delta, theta, alpha) are suppressed (Fig. 1A). It is natural that at this time, in spite of general relaxation of the body, tonic activity of skeletal muscles is maintained on a definite level. Cardiac rhythm also keeps on a certain level, although it is significantly lower than at more active wakefulness. There is no eye movement as the subject in a semi-dark room does not make observation on any objects and he/she lacks the reaction of attention. The whole complex of motor acts described above may be considered as the reflection of the appetitive phase of instinctive behavior of sleep. Thereafter, after a while, the subject's eyelashes slacken and the eyes gradually close. This highly coordinated motor event, which can be boldly regarded as the beginning of the consummatory phase of sleep, triggers a sharp change of EEG that is initially expressed mainly in the development of a regular alpha rhythm (Fig. 1B). Not infrequently this rhythm starts to develop as an episode that again depends on the change of extent of eye closure; but after closing them completely it may for a considerable time continue intermittently. Comparison by this parameter of different subjects of approximately one and the same age indicates that they may differ from each other as in the intensity of development of alpha rhythm, so in the duration of its occurrence, however, it ought to be noted that these parameters in one and the same subject are also dependent on the degree of desire to fall asleep. Against the baseline of the similar alpha rhythm before further deepening of the sleepy state in the subject, the conscious relation with the environment considerably attenuates as a result of which those comparatively weak sound stimuli, which before the closing of the eyes had been perceived, now become subthreshold. As to the stimuli which on this face may attract the attention of the subject result either in the reduction or complete blockade of alpha rhythm, that, apparently, again to some extent occurs in parallel with the development of tension of eyelashes and opening of the eyes. All this indicates that the alpha rhythm arising in the man ready to fall asleep in response to the closing of the eyes is the correlate not of the waking state as been regarded so far (Berger 1929; Beritoff and Vorobjev 1943; Lindsley 1952; Evans 1972; Cade and Coxhead 1979; Akerstedt and Gillberg 1990; Makeing and Jung 1995; Horne 1997; Aeschbach et al. 1999a, b; Cantero et al. 1999a, b, c; Ehrhart et al. 1999), but is a reflection of the beginning of the consummatory phase of sleep as an instinctive behavior that is apparently associated with pleasant perception resulting from the satisfaction of the intrinsic need (for more details on this point see subsequent publications). The data described above (Fig. 1A) clearly indicate that the EEG correlate of even passive wakefulness, proceeding in bed with the eyes open, but without activating the process of attention, is by no means the development of alpha rhythm, but the ordinary EEG desynchronization.

Further development of sleepy state is related approximately with such a sharp change in EEG pattern as is observed during closing of the eyes only with the distinction that it is associated already with the blockade of alpha rhythm. At this time, very often instead of a continuous alpha rhythm its fragments begin to develop and soon there occurs a total blockade of this rhythm. In accordance with the conventional classification it is considered that at this time wakefulness passes into a drowsy state or into stage 1 of sleep (Rechtschaffen and Kales 1968). Similar blockade of alpha rhythm, in our point of view, is likely to be related with that that, because of deepening of sleepy state, the brain ceases to realize the pleasant experience elicited by continuing satisfaction of intrinsic need for sleep. The deepening of sleepy state at this time is indicated by an appreciable enhancement of delta activity paralleled by fall in b2 activity in the EEG not only in comparison with wakefulness with the eyes open, but also with its preceding period of alpha rhythm development (Fig. 1C). Man (as well as the majority of mammalian species) is wakeful in order to establish intimate and adequate contacts with the environment that is largely achieved via visual analyzer. With closing the eyes, especially under the influence of development of a sleepy state, this contact gradually impairs what is the reason for a gradual transition from wakefulness to the state of sleep. Proceeding from this, the alpha rhythm appearing as a result of the eye closure cannot be regarded as the EEG correlate of wakefulness, as is the case at present.

In the normal course of SWC the so-called sleep stage 1 in man is soon followed by the onset of stage 2, and then by the further formation of all its components (Fig. 1D) and in principle stage 1 may be considered as the beginning of stage 2. If for the onset of stage 2, apart from considerable enhancement of comparatively slow potentials in the EEG, characteristic is the appearance of spindle-like activity, then the already formed stage 2 is characterized by the development of the so-called K-complexes, which promote the enhancement of synchronization and transition of sleep to deeper stages (Fig. 1D). According to our data, K-complexes are not the EEG components of only sleep stage 2. They, although more seldom, but still may appear during sleep stage 3 and in a masked way even in stage 4. However, if during stage 2 the K-complexes mainly enhance the synchronization of slow waves of delta, theta and alpha range, then in stage 3 and 4 the generation of the same K-complexes in a particularly pronounced form may elicit an opposite effect, i.e. an appreciable suppression of delta and theta waves and generation of alpha rhythm on their face. In addition, it seems that, as K-complexes one should not consider only the evoked potentials, arising during synchronization, which have comparatively high and as it were, standard amplitude (Fig. 2B). Actually K-complexes may develop even in the form of threshold evoked potentials (Fig. 2A). Besides, the threshold K-complexes, as a rule, provoke synchronization in the EEG, while the high-amplitude K-complexes not infrequently show the tendency to desynchronization, not only during deep SWS (DSWS), as has just been indicated, but also during stage 2 of orthodoxal sleep (this will be described in more details in further publication).

Synchronization of slow waves achieves its highest degree in stage 4, the so-called orthodoxal or SWS (Fig. 3A) which after a certain time gives way to the PS (Fig. 3B). The transition of sleep stage 4 to PS also occurs gradually, as if through the restoration of stage 3 and stage 2 of orthodoxal sleep. Yet these transient stages by their depth and physiological mechanisms, apparently, differ from stage 2 and stage 3 at orthodoxal sleep development. It should be mentioned here that the deepening of sleep state is a continuous process and determination of boundaries between the individual stages of orthodoxal sleep is rather conventional even by the EEG signs. This is indicated by the results of quantitative treatment of data with the use of the EEG spectral analysis in various stages and at the transition of one stage into another (Fig. 4). As is seen even in stage 2 the EEG shows the predominance of delta spectrum and at the same time the theta and alpha spectra, i.e. all the slow waves, are also well expressed, whereas the presentation in EEG of the spectrum of comparatively high-frequency oscillations (b1 and b2) appears to be weak. The transition of stage 2 to stage 3 is marked by the enhancement of all slow rhythms, especially of delta waves. The EEG analysis of stage 3 displays a selective increase of delta and theta rhythms that is especially well pronounced during EEG analysis of stage 4. Not denying the convenience and advantage of the presently adopted classification of sleep in general and of the orthodoxal phase of sleep in particular (its subdivision into four stages) for clinical purposes, in terms of polygraphic parameters (especially by EEG), from the point of neurobiology, more acceptable seems the subdivision of orthodoxal sleep in man, as well as in other mammals (Ursin 1968) into two stages - light SWS and DSWS.

The nocturnal sleep in man does not proceed as a smooth alternation of the orthodoxal and paradoxical phases of sleep. Very often, both in the young and old, during all stages of sleep may occur motor reactions associated largely with the change of the overall posture of the body or with the isolated movement of extremities. Such a motor activity even with no behavioral awakening causes sharp changes both of the EEG and somato-vegetative parameters. In particular, during movements the EEG shows the restoration of the pattern characteristic of the waking state (alongside with other slow waves the alpha constituent is also suppressed), the vegetative correlate of which is a significant increase in heart rate. If at this time there occurs no behavioral awakening and consequently the eyes remain closed, then shortly after this comparatively short fragment follows first the development of pronounced alpha rhythm (especially in the subject who at the beginning of falling asleep had a pronounced alpha rhythm), and then a regular restoration of all the rest stages of orthodoxal sleep and alternation of the phases of the cycle. It is necessary to mention that the phase of PS, as a rule, at its any length terminates with short EEG awakening after which the cycle starts anew. The moments of termination of PS phases with short episodes of awakening have been marked by us while plotting cyclograms, as to the motor reactions indicated above with no behavioral awakening, they, as a rule, were not taken into account. Although we think that with a more accurate analysis of the dynamics of various stages of sleep and considering the causal interrelationship between the phases of SWC they may yield additional information (for details see further publications).

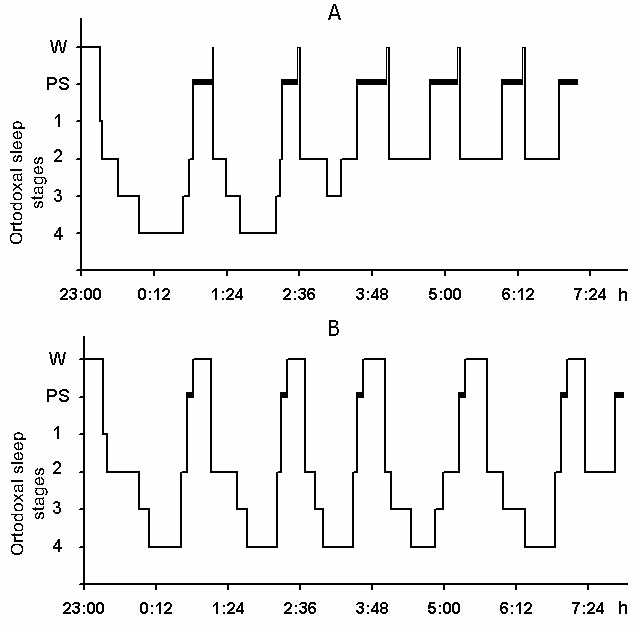
The cyclograms of a normal nocturnal sleep plotted by us on the basis of analysis of baseline polygraphic records both in young and elderly subjects keep basically within the standards established. Fig. 5A shows a cyclogram of one of the subjects (a 27-year old man) composed on the basis of analysis of baseline records before partial PSD. As is seen, during 3 hr and 40 min after the subject had made himself comfortable in bed and assumed a convenient pose of the body for sleep all stages of the orthodoxal sleep phase is realized and PS is triggered twice. After this DSWS does no longer develop as stage 4 and only once appears as stage 3 against which PS is triggered. The other phases of PS from 4 till 8 am are triggered from the level of stage 2 of orthodoxal sleep, after which the subject wakes up and announces that he is feeling very well and has had a good sleep.

2. Effect of partial PSD by means of replacing it with the equivalent in duration episodes of active wakefulness on the SWC structure in man.

As has been mentioned in the description of techniques, in the present series of experiments partial PSD was achieved by means of awakening of the subject 5-6 min after PS onset with a subsequent maintenance of active wakefulness for 10-15 minutes. The active wakefulness was maintenaned by making at this time the subject recollect and retell the content of the dream he had seen before waking up. During the inquiry the subject remained in bed in a lying position and having finished retelling had the possibility again to fall asleep calmly. In spite of this, after ceasing the contact with the observer, the examinee wakefulness condition may continue 10 minutes, that in most cases was caused by the reflections on details of private dreams' content. All the subjects readily underwent this procedure, as they well understood the task of the experiment and were interested in its normal course. After the night sleep and morning awakening the subjects were in good mood and their efficiency was on a normal level. As each subsequent night was considered to be the postdeprivation rehabilitation period the PSD experiments were repeated no earlier than after 48 hr.

Under these conditions, the most interesting changes in SWC were observed namely in the course of partial PSD. The fact, first of all, is striking that during the application of the method in question there is no increase in the frequency of PS phases onset during PSD that is so characteristic of the PSD with instantaneous nonemotional awakening of the sleeping subject immediately after the PS onset not only in animals (Dement et al. 1967; Dement 1972; Oniani et al. 1988a, b; Camarini and Benedito 1997), but also in man (Dement 1960; Beersma et al. 1990; Endo et al.1998; Ferrara et al. 1999; Roth et al. 1999; Vu et al. 1999). Another no less important fact is that in the course of deprivation sharply alters the time distribution of the orthodoxal sleep stages. If in the baseline cycles of nocturnal sleep stage 3 and stage 4 are represented only during 2-3 hours after falling asleep (Fig. 5A), then during the partial PSD experiment the proper development of stage 3 and stage 4 is observed virtually throughout the entire nocturnal sleep (Fig. 5B). At this time after each awakening from PS and maintenance of active wakefulness for a definite time, all stages of orthodoxal sleep develop consecutively and the next transition from SWS to PS occurs also through the development of the so-called fragments of stage 3 and 2 (Fig. 5B). The results of quantitative treatment of data with the use of EEG spectral analysis of the constituent rhythms developing during stage 4 of orthodoxal sleep, preceding the first PS appearing a 1 hr and 30 min minute later of the sleep onset and the last PS, triggered via the transient stage again from the level of stage 4, 6 hr and 40 min after the onset of nocturnal sleep are presented in Fig. 6. As is seen, according to the expression of all the five rhythms, there is no statistically significant difference of stage 4 before the beginning of partial PSD and almost at the end of the experiment. It means that they do not differ from each other by the depth of sleep either. As to the ratio of different stages and phases of SWC during the deprivation night, it considerably alters in comparison with the normal cycle. This occurs first of all, because of the maintenance of rather long fragments of active wakefulness after the subject wakes up from PS, and secondly, because of the development of stage 3 and 4 of orthodoxal sleep after each of this fragment of wakefulness (Fig. 7). Naturally, all this leads to an increase of the total amount of DSWS.

Apart from no increase in the frequency of PS phases onset during PSD by means of partial replacement of these phases by adequate in duration episodes of wakefulness, the lack of accumulation of intrinsic need for the deprived phase is indicated also by analysis of the SWC postdeprivation records. Even in the first postdeprivation night the SWC of experimental subject does not differ from the baseline record in basic parameters, i.e. there is neither PS rebound according to the parameters of its amount and structure, nor any appreciable changes in the structure of the orthodoxal phase of sleep according to its distribution in separate stages.

As mentioned above, one of the aims of our experiments was to ascertain the relation between the EEG pattern and the character of dreams during PS. The thing is that during PS in man (Oglivie et al. 1982; Tyson et al. 1984; Akerstedt and Gillberg 1990; Dijk and Czeisler 1996; Werth et al. 1996, 1997; Cantero et al. 1999a, b, c), as well as in cat (Oniani et al. 1978) more or less prolonged fragments of alpha rhythm appear in the EEG. At this time other slow rhythms (of delta and theta range) remain suppressed. It may be assumed that during a prolonged phase of PS dreams seen in the presence of alpha rhythm in EEG would differ in pattern from those arising in its absence, i.e. during total EEG desynchronization. It appeared that actually there is a definite correlation between the EEG pattern and the content of dreams seen in PS. Although this issue merits further study, at this point we can say that dreams proceeding against alpha activity in PS are quieter and more pleasant than those seen in the absence of alpha rhythm in the EEG.

From the psychophysiological position the phenomenon of self-arousal observed by us during partial PSD with the awakening of the subject may be considered as more evident and reliable fact. The thing is that two subjects (by the way in both of them alpha rhythm was present in the EEG both at the beginning of falling asleep, as well as following the spontaneous motor acts occurring during different stages of sleep) after certain number of awakening from PS started to wake up by themselves and told the content of their dreams. As the reason for self-arousal they name recognition of the fact that they see a dream and understand that they are obliged to retell it to the experimenter; in this case we have to do with an obvious example of presently well known lucid dreaming (see LaBerge and Rheingold 1996) and the elaborated habit of self-arousal.

Discussion

From the above described findings at this point three are open to discussion. They are: 1) during PSD by means of replacing its phases in SWC by equivalent in duration fragments of active wakefulness there is no increase in the frequency of PS onset during deprivation and no rebound in postdeprivation period; 2) during PSD in the way described above one can observe an obvious increase of stage 3 and especially stage 4 of orthodoxal, i.e. DSWS (Fig.7), as a result of which the overall structure of nocturnal sleep also alters. This is expressed in that that stage 3 and stage 4 of orthodoxal sleep are developing not only in the first half of nocturnal sleep, but also in the second, after each substitution of the phase of PS by an episode of active wakefulness (Fig. 5). This data agreed with the visions that the level of delta power and amplitude are dependent upon the amount of prior wakefulness (Dijk et all.1990). It should be noted that similar increase in the DSWS amount in the night of deprivation has no appreciable effect on the sleep cycle structure in the next, i.e. recovery night; 3) during partial PSD some experimental subjects develop the phenomenon of self-arousal from PS with the purpose to retell the content of dreams seen. All these facts can be understood more or less satisfactorily, on the one hand, on the basis of existing knowledge of neurobiological mechanisms of SWC in general, and on the basis of knowledge of dynamics of cognitive processes in this cycle, on the other.

That during PSD with replacing its phases in SWC by equivalent in duration episodes of active wakefulness, there are no signs of accumulation of the need for the deprived phase and consequently, no increase in frequency of occurrence of these phases either during deprivation or postdeprivation period has been demonstrated in cats (Oniani et al. 1985, Oniani 1986, Oniani et al. 1988a, b; Maisuradze et al. 2000) and rats (Darchia et al.1999). On this basis a conclusion has been drawn that the episodes of active wakefulness may completely replace the phases of PS in the sense of satisfaction of its intrinsic biological need. The same conclusion seems proper in the given case too. However the fact that in man during partial PSD by the mentioned method occurs a significant increase of DSWS amount (stages 3 and 4) requires additional explanation. But there are reasons to suppose that the more or less prolonged episodes of active wakefulness by which the phases of PS had been replaced in this situation too fulfill their usual function in the sense of creating intrinsic biological need for SWS and by that may trigger all stages of orthodoxal sleep or SWS. As a neurochemical basis of development of this phenomenon can be considered frequent restoration throughout the entire nocturnal sleep of activity of the brainstem monoaminergic neurons and respectively, an increase in the concentration of their neurotransmitters in the brain. These neurons are known to fire with high-frequency discharges namely during active wakefulness, they progressively decrease their activity with the onset of passive wakefulness and SWS and virtually cease to be excited during PS (see Oniani 1980; Sakai et al. 1981; Oniani et al. 1984a, 2001b). While replacing PS phases by the fragments of active wakefulness the activity of these neurons should also be restored to a high level, as is the case when PS is interrupted spontaneously and is followed by active wakefulness. Thus, the described change of the structure of human sleep cycle in general and of the structure of orthodoxal sleep in particular once again speaks in favor of a leading role of activity of the mesencephalic monoaminergic structures in creating the intrinsic biological need namely for orthodoxal sleep, i.e. SWS, but not for PS. Besides, the foregoing fact also suggests that PS per se must not be involved in the formation of a biological need for SWS, despite the high activity of the forebrain structures in PS (Oniani et al. 1984b). As to the need for PS, in all likelihood, it is being formed also during SWS (Oniani et al. 1984b, 2000; Maisuradze et al. 2001) as well as the possible need for wakefulness (Akhvlediani et al. 1988; Nachkebia 1989). Similarity or even identicity of intrinsic needs for PS and wakefulness may account for the fact that fragments of active wakefulness may almost totally replace the phases of PS in SWC.

As regards the phenomenon of self-arousal of some subjects from PS, in this case we have to do with the example of nowadays well known phenomenon of acquisition of a habit on the principle of conditioned reflex self-arousal based on lucid dreaming (LaBerge and Rheingold 1996). Moreover, this fact clearly indicates that the human brain in PS too is capable of highly coordinated work and manifesting complex integrated psychophysiological processes.

References

Aeschbach, D., Matthews, J., Postolache, T., Jackson, M., Giesen, H., Wehr, T. Two circadian rhythms in the human electroencephalogram during wakefulness. Am J. Physiol., 1999a, 277: R1771-R1779.

Aeschbach, D., Matthews, J., Postolache, T., Sher, L., Giesen, H., Jackson, M., Wehr, T. EEG theta / low alpha activity (5.29 - 9.0 Hz) during wakefulness is higher in short sleepers than in long sleepers. Sleep Res. Online, 1999b, 2(supplement 1): 514.

Akerstedt, T., Gillberg, M. Subjective and objective sleepiness in the active individual. Int. J. Neurosci. 1990, 52: 29-37.

Akhvlediani, G., Oniani, T., Chikvaidze, V. The effect of some monoamine oxidase inhibitors on the sleep-wakefulness cycle of the cat. In: T. Oniani (Ed.), Neurobiology of Sleep-Wakefulness Cycle, Metsniereba, Tbilisi, 1988: 423-433.

Beersma, D., Dijk, D., Blok, C., Everhardus, I. REM sleep deprivation during 5 hours leads to an immediate REM sleep rebound and to suppression of non-REM sleep intensity. Electroencephalogr. Clin. Neurophysiol., 1990, 76: 114-122.

Beritoff, J., Vorobjev, J. On the origin of the facilitating action on alpha-waves in man, caused by closing the eyes. In: J.S. Beritoff (Ed.), Transactions of the J. Beritashvili Physiological Institute, Tbilisi, The Georgian SSR, 1943, 5: 369-387, (in Russian).

Berger, H. Uber das elektenkephalogramm des menschen. Arch. Psychiat., 1929, 87: 527-570.

Bodosi, B., Obal, Jr., Gardi, J., Fang, J., Krueger, J. Hypophysectomy and antiserum against prolactin block ether stress-induced REM sleep. Sleep Res. Online, 1999, 2(supplement 1): 174.

Cade, C., Coxhead, N. The awakened mind. Element Books, Longmead, Great Britain, 1979.

Camarini, R., Benedito, M. Rapid eye movement (REM) sleep deprivation reduces rat frontal cortex acetylcholinesterase activity. Braz. J. Med. Biol. Res., 1997, 30: 641-647.

Cantero, J., Atienza, M., Salas, R. EEG coherence pattern of alpha activity in three different brain activation states. Sleep Res. Online, 1999a, 2(supplement 1): 19.

Cantero, J., Atienza, M., Gomez, C., Salas, R. Spectral structure and brain mapping of human alpha activities in different arousal states. Neuropsychobiology, 1999b, 29: 110-116.

Cantero, J., Atienza, M., Salas, R., Gomez, C. Brain spatial microstates of human spontaneous alpha activity in relaxed wakefulness, drowsiness period and REM sleep. Brain Topography, 1999c, 11: 4.

Darchia, N., Oniani, T., Gvilia, I., Maisuradze, L., Lortkipanidze, N., Mgaloblishvili, M., Chidjavadze, E. Analysis of competitive interrelationship of wakefulness and paradoxical sleep using two different methods of paradoxical sleep deprivation. Sleep Res. Online, 1999, 2(supplement 1): 521.

Dement, W. The effect of dream deprivation. Science, 1960, 131: 1705-1707.

Dement, W. Sleep deprivation and the organization of the behavioral states. In: C. Clemente, D. Purpura and F. Mayer (Eds.), Sleep and Maturing Nervous System, Acad. Press. New York, London, 1972: 319-361.

Dement, W., Henry, P., Cohen, H., Fergusson, J. Studies of the effect of REM deprivation in humans and in animals. In: S. Kety, E. Evarts, and H. Williams (Eds.), Sleep and Altered States of Consciousness, Williams and Wilkins, Baltimore, Maryland, 1967: 456-468.

Dijk, D, Brunner, D, Breesma, D., Borbely A. Electroencephalogram power density and slow wave sleep as a function of prior waking and circadian phase. Sleep, 1990, 13: 430-440.

Dijk, D. and Czeisler, C. An endogenous circadian rhythm of EEG alpha activity in REM sleep. J. Sleep Res., 1996, 5: 1-50.

Dusan-Peyrethon, I. and Jouvet, M. Supression elective du sommeil paradoxal chez le chat par a methyl Dopa. Comptes Rendus das Seances de la Sociate de Boil., 1968, 162: 116-118.

Ehrhart, L., Toussaint, M., Simon, C., Gronifier, C., Luthringer, R., Brandenberger, G. Dissociation of the relationship between EEG alpha activity and cardiac correlates during interrupted nocturnal sleep. Sleep Res. Online, 1999, 2(supplement 1): 255.

Endo, T., Roth, C., Landolt, P., Werth, E., Aeschbach, D., Achermann, P., Borbely A. Selective REM sleep deprivation in humans: effect on sleep and sleep EEG. AJP - Regulatory, Integrative and Comparative Physiology. 1998, 274: 1186-1194.

Evans, F. Hypnosis and sleep: techniques for exploring cognitive activity during sleep. In: E. Fromm and R. Shor (Eds.), Hypnosis: Research Developments and Perspectives. Chicago: Aldine-Atherton, 1972.

Fergusson, J., Dement, W. Changes in intensity of REM sleep with deprivation. Psychophysiology, Baltimore, 1968, 4: 300-312.

Ferrara, M., De Gennaro, L., Bertini, M. Selective slow-wave sleep (SWS) deprivation and SWS rebound: do we need a fixed SWS amount per night? Sleep Res. Online, 1999, 2(1): 15-19.

Fishbein, W., Gutwein, B. Paradoxical sleep and memory storage processes. Behav. Biol., 1977, 19: 425-464.

Horne, J. The phenomenon of human sleep. Loughborough Sleep Research Centre. The Karger Gazzette, 1997, April.

Jouvet, D., Vimont, P., Delorme, F., Jouvet M. Etude de la privation selective de la phase paradoxale de sommeil le chat. C.R. Soc. Biol., Paris, 1964, 158: 756-759.

Jouvet, M. Behavioral and EEG effect of paradoxical sleep deprivation in the cat. Proc. Int. Congr. Physiology Sci., Tokio, 1965, 87: 344-355.

Jouvet, M. The neurophysiology of the states of sleep. Physiol. Rev., 1967, 47: 117-177.

Jovanovic, U. An experimental contribution to our knowledge of the phenomenology of sleep. In: Normal Sleep in Man. Hippokrates verlag Stuttgart, 1971: 254-315.

LaBerge, S. and Rheingold H. Exploring the world of lucid dreaming. "Sofia", Kiev, Transpersonal Institute, Moskow, 1996.

Lee, Ch., Kim, J., Choo, H., Han, J., Lee, S. Effects of amitriptyline on insomnia induced by chloramphenicol in freely-moving rats. Sleep Res. Online, 1999, 2(supplement 1): 174.

Lindsley, D. Psychological phenomenon and the electroenephalogram. EEG and Clin. Neurophysiol., 1952, 4: 443-450.

Making, S., Jung, T. Changes in alertness are a principal component of varianse in the EEG spectrum. Neuroreport, 1995, 7: 213-216.

Maisuradze, L., Lortkipanidze N., Oniani, T., Eliozishvili, M., Oniani, L., Mchedlidze O. Comparative studies of PGO-deprivation and REM-deprivation of paradoxical sleep on the structure of cat's sleep-wakefulness cycle. Neurobiology of Sleep-Wakefulness Cycle, 2001, 1(2): 57-63.

Maisuradze, L., Oniani, T., Lortkipanidze, N., Oniani, L., Eliozishvili, M. An organization of sleep-wakefulness cycle at the REM sleep deprivation. Proc. of the 3rd ASRS Congress, Thailand, Bangkok, 2000: A139.

Mallick, B. One of the functions of REM sleep is to maintain brain excitability possible cellular mechanisms of action. Proc. of the ASRS 3rd Congress, Thailand, Bangkok, 2000: A32.

Morden, B., Mitchell, G., Dement, W. Selective REM sleep deprivation and compensation phenomena in the rat. Brain Res., 1967, 5: 339-349.

Nachkebia, A. Functional Characteristic of Isolated Forebrain. 1989, Avtoreferat disertacii (in Russian).

Obal, F. Jr., Benedek, G., Lelkes, Z., Obal, F. Effects of acute and chronic treatment with amitriptyline on the sleep- wake activity of rats. Neuropharmacology, 1985, 24: 223-229.

Oglivie, R., Hunt, H., Tyson, D., Lucescu, M., Jeakins, R. Lucid dreaming and alpha activity: a preliminary report. Perceptual and Motor Skills, 1982, 55: 795-808.

Oniani, T. The correlation between emotional tension and EEG dynamics in wakefulness-sleep cycle. In: T.Oniani (Ed.), Neurophysiology of Emotion and Wakefulness-Sleep Cycle. Metsniereba, Tbilisi, 1976: 5-27.

Oniani, T. The Integrative Function of the Limbic System. Tbilisi, Metsniereba, 1980.

Oniani, T. Does paradoxical sleep deprivation disturb memory trace consolidation? Physiol. Behav., 1984, 33: 687-692.

Oniani, T. Neurophysiological analysis of paradoxical sleep deprivation. Mat. of Intern. Simp. "Neurobiology of Sleep-Wakefulness Cycle". Tbilisi, Metsniereba, 1986: 66-68.

Oniani, T., Adams, D., Molnar, P., Gvetadze, L., Manjavidze, Sh., Beradze, G., Mgaloblishvili, M., Korchinski, R., Varazashvili, P. Organization of unit activity of limbic structures in the sleep-wakefulness cycle. In: P. Kostyuk (Ed.), Studies of Mechanisms of Nervous Activity. Nauka, Moscow, 1984a: 215-218, (in Russian).

Oniani, T., Chijavadze, E., Maisuradze, L. Effect of slow-wave sleep partial deprivation on the sleep-wakefulness cycle. Sechenov Physiological Journal of the USSR, 1984b, 70,8:1142-1148.

Oniani, T., Lortkipanidze, N. Effect of paradoxical sleep deprivation on learning and memory. In: T. Oniani (Ed.), Neurophysiology of Motivation, Memory and Sleep-Wakefulness Cycle. Tbilisi, Metsniereba, 1985, 4: 136-213.

Oniani, T., Lortkipanidze, N., Maisuradze, L. Neurophysiological analysis of deprivation of paradoxical sleep. Abstracts of Scientific Conference: Topical Problems of Sleep Physiology and Pathology. Moscow, 1985: 64-66, (in Russian).

Oniani, T., Lortkipanidze, N., Maisuradze, L., Oniani, L. Neurophysiological analysis of the effects of paradoxical sleep selective deprivation. Neurophysiology, Kiev, 1988a, 20: 20-28, (in Russian).

Oniani, T., Lortkipanidze, N., Mgaloblishvili M., Maisuradze L., Oniani L., Babilodze M., Gvasalia M. Neurophysiological analysis of paradoxical sleep deprivation. In: T.Oniani (Ed.), Neurobiology of Sleep-Wakefulness Cycle. Tbilisi, Metsniereba, 1988 b: 19- 43.

Oniani, T., Maisuradze, L., Lortkipanidze, N., Mgaloblishvili, M., Chidzavadze, E., Oniani, L., Oniani, N., Babilodze M. Total paradoxical sleep deprivation though partial deprivation of slow wave sleep. Bulletin of the Georgian Academy of Sciences, Tbilisi, 2000, 161: 127-131.

Oniani T., Maisuradze, L., Lortkipanidze, N., Mgaloblishvili-Nemsadze, M., Oniani, L., Eliozishvili, M., Oniani, N. Is selective and complete paradoxical sleep deprivation possible? Neurobiology of Sleep-Wakefulness Cycle, 2001a, 1(1): 15-28.

Oniani, T., Mgaloblishvili, M., Gogichadze, M., Lortkipanidze, N., Maisuradze, L., Chijavadze, E., Manjavidze, SH., Oniani, N., Nachkebia N., Koridze, M., Kavkasidze, M. Dynamics of the level of excitability and activity of the brainstem and diencephalic ascending activating structures in the sleep-wakefulness cycle. Proc. Georgian Acad. Sci., Biol. Ser., 2001b, 27: 205-224.

Oniani, T., Molnar, P., Naneishvili, T. The Nature of Paradoxical Phase of Sleep. Neuroscience Translation. Fed. Amer. Soc. Exp. Biol., 1978, 15: 1.

Oswald, I. Pharmacology of sleep. In: O. Petre-Quadens and J.Schlag (Eds.), Basic Sleep Mechanisms. Acad. Press, New York, London, 1974: 297-302.

Pickworth, W., Sharpe, L., Nozak, M., Martin, W. Sleep suppression induced by intravenous and intraventricular infusions of methoxamine in the dog. Experiment. Neurol., 1977, 57: 999-1011.

Rechtschaffen, A., Gilliand, M., Bergmann, B., Winter, S. Physiological correlates of prolonged sleep deprivation in rats. Science, 1983, 221: 182-184.

Rechtschaffen, A., Kales, A. A manual of standardized terminology, techniques and scoring system for sleep stages of human subjects. National Institute of Health Publication, Government Printing Office, 1968, 204.

Rechtschaffen, A., Siegel, J. Sleep and dreaming. In: E.R. Kandel, J.H. Schwartz and T.M. Jessel (Eds.), Principles of Neuroscience. McGraw-Hill, New York, 2000: 936-947.

Roth, C., Endo, T., Landolt, H., Werth, E., Werth, E., Borbely, A., Achermann, P. Selective REM deprivation: effect of frequent awakenings on sleep latency and intermittent sleep-time. Sleep Res. Online, 1999, 2(supplement 1): 552.

Sakai, K., Sastre J., Kanamori, N., Jouvet, M. State-Specific neurons in the ponto-medullary reticular formation with special reference to the postural atonia during paradoxical sleep in the cat. In: O. Pompeiano and C. Ajmone Marsan (Eds.), Brain Mechanisms and Perceptual Awareness. Raven Press, New York, 1981: 405-429.

Sallanon, M., Sanin, M., Buda, C., Jouvet M. Serotoninergic mechanism and sleep rebound. Brain Res., 1983, 268: 95-104.

Sampson, H. Deprivation of dreaming sleep by two methods. Arch. Gen. Psychiat., 1965, 13: 79-86.

Sucheki, D., Duarte Palma, B., Tufik, S. Sleep rebound in rats following sleep deprivation induced by the modified multiple platform method. Sleep Res. Online, 1999, 2(supplement 1): 559.

Tyson, P., Oglive, R., Hunt, H. Lucid, prelucid and nonlucid dreams related to the amount of EEG alpha activity during REM sleep. Psychophysiology, 1984, 21: 442-450.

Ursin, R. The two stages of slow wave sleep in the cat and their relation to REM sleep. Brain Res., 1968, 11: 347-356.

Van Hulzen, Z., Coenen, A. The pendulum technique for paradoxical sleep deprivation in rats. Physiol. Behav., 1980, 25: 807-811.

Vogel, G. A review of REM sleep deprivation. Arch. Gen. Psychiat., 1975, 32: 749-761.

Vogel, G., Roth, T., Gillin, J., Mendelson, W., Buffenstein, A. REM sleep and depression. In: T. Oniani (Ed.), Neurobiology of Sleep-Wakefulness Cycle. Metsniereba, Tbilisi, 1988: 187-215.

Vu, H., Roth, C., Mathis, J., Hurni, C., Achermann, P., Basseti, C. REM Sleep regulation in narcolepsy: effects of selective REM deprivation. Sleep Res. Online, 1999, 2(supplement 1): 463.

Werth, E., Achermann, P., Borbely A. Brain topography of the human sleep EEG: anteroposterior shifts of spectral power. Neuroreport, 1996, 8: 123-127.

Werth, E., Achermann, P., Borbely, A. Frontooccipital EEG power gradients in human sleep. J. Sleep Res., 1997, 6: 102-112.

Wyatt, R., Kupfer, D., Fram, D., Snyder, F. Prolonged drug- induced total REM sleep suppression in depressed patients. Psychophysiology, 1969, 6: 258-266.


Acknowledgments
This research was supported by the Japanese Government, under the ISTC grant G-391.

Figures

Figure 1. Manifestation of EEG and somatic-vegetative indices in different phases and stages of the human SWC.
Leads: 1, 2, 3 - EEG of frontal, parietal and occipital cortical regions, respectively; 4 - EOG; 5 - ECG; 6 - integrated values of d (1-4 Hz), q (4-8 Hz), a (8-12 Hz), b1 (12-20 Hz), and b2 (20-30 Hz) rhythms of frontal (first five records) and occipital (remaining five records) cortical regions per 5 s epoch. Male subject is laying in bed in a posture optimal for going to sleep. A - Passive wakfulness with the eyes open; B - Following closing the eyes, at the desire to sleep; C - Sleep stage 1; D - Sleep stage 2; E - Alteration of d and b2 rhythms in parietal cortical region in the stage 1 of nocturnal sleep (column 2), as compared to the previous period with regular a rhythm (column 1).


Figure 2. Character of EEG changes in response to spontaneously occurring K-complexes of different amplitude on the baseline of initiation (A) and further development (B) of sleep stage 2.
Leads and notations are same as in Fig. 1.


Figure 3. EEG and somatic-vegetative indices in the stage 4 of orthodoxal sleep (A) and on the baseline of PS (B).
Leads: 1 - EMG; 2, 3, 4 - EEG of frontal, parietal and occipital cortical regions, respectively; 5 - EOG; 6 - ECG; 7 - integrated values of d (1-4 Hz), q (4-8 Hz), a (8-12 Hz), b1 (12-20 Hz), and b2 (20-30 Hz) rhythms of frontal (first five records) and occipital (remaining five records) cortical regions per 5 s epoch.


Figure 4. Results of statistical treatment of dynamics of the EEG rhythms on the baseline of the stages 2, 3 and 4 of orthodoxal sleep and during the stage 2 transition to stage 3.


Figure 5. Cyclograms of nocturnal sleep in 24 years old subject, composed on the basis of baseline recording (A) and recordings during partial PSD through PS substitution with episodes of active wakfulness (B).


Figure 6. Comparison of expression of integrated values of d, q, a, b1 and b2 rhythms in parietal cortical region of the young subject's brain, on the baseline of stage 4 of orthodoxal sleep, prior to first PS (1:30 a.m.) and before the last PS (6:40 a.m.) appearance, triggered in a course of partial PSD.


Figure 7. Ratio of different phases of the cycle and stages of orthodoxal sleep in the young subject: A - in the baseline recordings of nocturnal sleep, and B - during partial PSL through PS substitution with episodes of active wakfulness. PW - passive wakfulness; AW - active wakfulnessing; II, III, IV -stages of orthodoxal sleep.


Correspondence: Oniani Tengiz, Prof.,
Department of Neurobiology of Sleep-Wakefulness Cycle,
I.S. Beritashvili Institute of Physiology, Georgian Academy of Sciences,
14, L. Gotua str., Tbilisi, 380060, Georgia.
E-mail: nswc@neurobiology.ge